Официальное опубликование правовых актов
ОФИЦИАЛЬНОЕ ОПУБЛИКОВАНИЕ
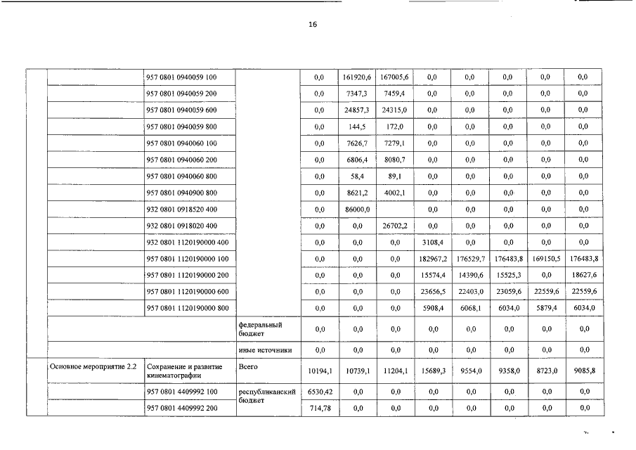
Постановление Правительства Кабардино-Балкарской Республики от 28.12.2017 № 234-ПП
"О внесении изменений в государственную программу Кабардино-Балкарской Республики "Культура Кабардино-Балкарии"
Номер опубликования: 0700201801040003
Дата опубликования: 04.01.2018
Страница №17 из 56:
Увеличить