Официальное опубликование правовых актов
ОФИЦИАЛЬНОЕ ОПУБЛИКОВАНИЕ
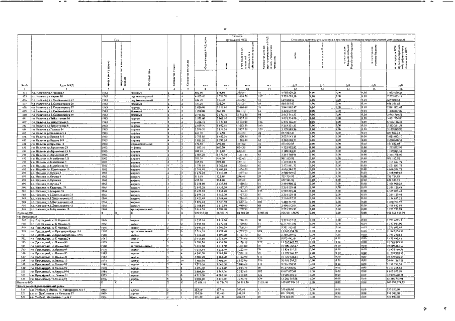
Постановление Правительства Кабардино-Балкарской Республики от 18.12.2017 № 220-ПП
"О внесении изменений в республиканскую программу "Проведение капитального ремонта общего имущества многоквартирных домов в Кабардино-Балкарской Республике в 2014-2043 годах"
Номер опубликования: 0700201712260003
Дата опубликования: 26.12.2017
Страница №15 из 100:
Увеличить