Официальное опубликование правовых актов
ОФИЦИАЛЬНОЕ ОПУБЛИКОВАНИЕ
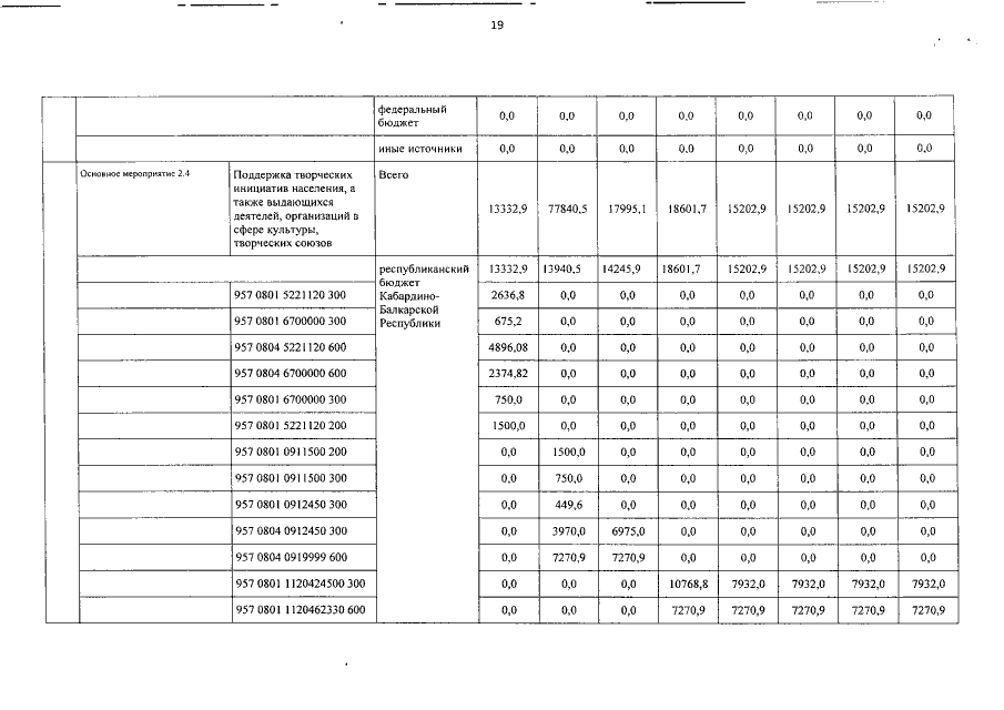
Постановление Правительства Кабардино-Балкарской Республики от 20.11.2017 № 207-ПП
"О внесении изменений в государственную программу Кабардино-Балкарской Республики "Культура Кабардино-Балкарии"
Номер опубликования: 0700201711210007
Дата опубликования: 21.11.2017
Страница №20 из 25:
Увеличить