Официальное опубликование правовых актов
ОФИЦИАЛЬНОЕ ОПУБЛИКОВАНИЕ
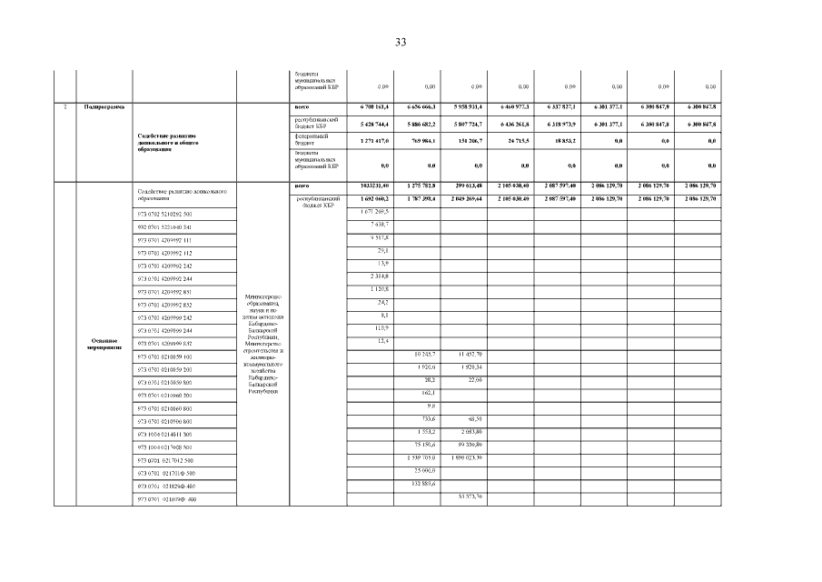
Постановление Правительства Кабардино-Балкарской Республики от 10.05.2017 № 82-ПП
"О внесении изменений в государственную программу Кабардино-Балкарской Республики "Развитие образования в Кабардино-Балкарской Республике"
Номер опубликования: 0700201705150003
Дата опубликования: 15.05.2017
Страница №34 из 44:
Увеличить