Официальное опубликование правовых актов
ОФИЦИАЛЬНОЕ ОПУБЛИКОВАНИЕ
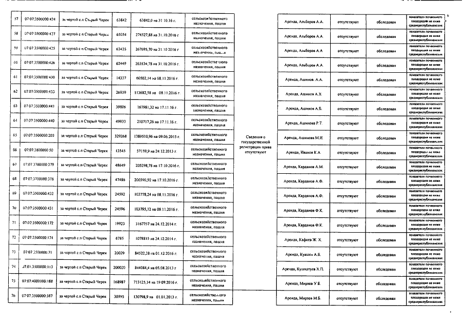
Постановление Правительства Кабардино-Балкарской Республики от 10.05.2017 № 75-ПП
"Об утверждении перечня особо ценных продуктивных сельскохозяйственных угодий, использование которых для других целей не допускается"
Номер опубликования: 0700201705150001
Дата опубликования: 15.05.2017
Страница №7 из 15:
Увеличить