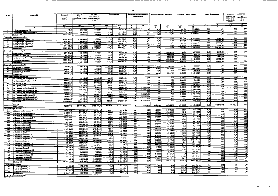
Официальное опубликование правовых актов
ОФИЦИАЛЬНОЕ ОПУБЛИКОВАНИЕ
Постановление Правительства Кабардино-Балкарской Республики от 26.12.2016 № 237-ПП
"О внесении изменений в постановление Правительства Кабардино-Балкарской Республики от 25 марта 2014 г. № 42-ПП"
Номер опубликования: 0700201612300003
Дата опубликования: 30.12.2016
Страница №73 из 99:
Увеличить