Официальное опубликование правовых актов
ОФИЦИАЛЬНОЕ ОПУБЛИКОВАНИЕ
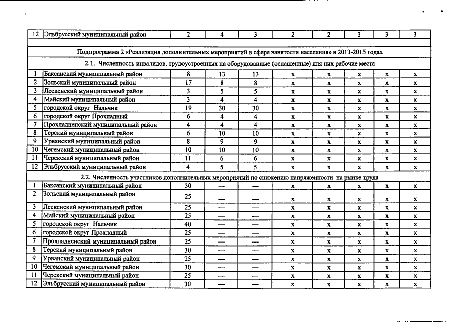
Постановление Правительства Кабардино-Балкарской Республики от 29.07.2016 № 133-ПП
"О внесении изменений в государственную программу Кабардино-Балкарской Республики "Содействие занятости населения Кабардино-Балкарской Республики" на 2013-2020 годы"
Номер опубликования: 0700201608040005
Дата опубликования: 04.08.2016
Страница №50 из 75:
Увеличить