Официальное опубликование правовых актов
ОФИЦИАЛЬНОЕ ОПУБЛИКОВАНИЕ
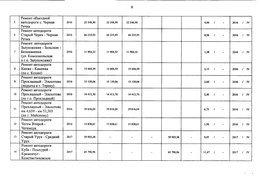
Постановление Правительства Кабардино-Балкарской Республики от 17.05.2016 № 89-ПП
"О внесении изменений в постановление Правительства Кабардино-Балкарской Республики от 1 февраля 2016 г. № 9-ПП"
Номер опубликования: 0700201605190004
Дата опубликования: 19.05.2016
Страница №7 из 14:
Увеличить