Официальное опубликование правовых актов
ОФИЦИАЛЬНОЕ ОПУБЛИКОВАНИЕ
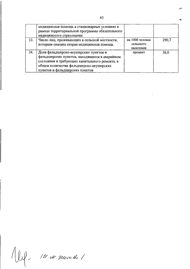
Постановление Правительства Кабардино-Балкарской Республики от 31.12.2015 № 318-ПП
"О Программе государственных гарантий бесплатного оказания гражданам в Кабардино-Балкарской Республике медицинской помощи на 2016 год"
Номер опубликования: 0700201601040015
Дата опубликования: 04.01.2016
Страница №45 из 154:
Увеличить