Официальное опубликование правовых актов
ОФИЦИАЛЬНОЕ ОПУБЛИКОВАНИЕ
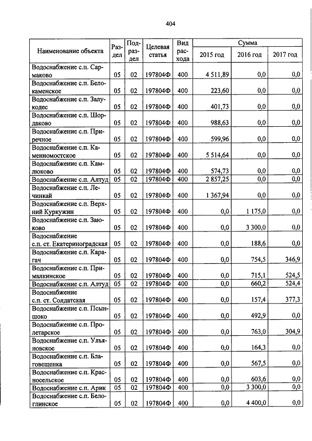
Закон Кабардино-Балкарской Республики от 06.02.2015 № 1-РЗ
"О внесении изменений в Закон Кабардино-Балкарской Республики "О республиканском бюджете Кабардино-Балкарской Республики на 2015 год и на плановый период 2016 и 2017 годов"
Номер опубликования: 0700201502110002
Дата опубликования: 11.02.2015
Страница №404 из 411:
Увеличить