Официальное опубликование правовых актов
ОФИЦИАЛЬНОЕ ОПУБЛИКОВАНИЕ
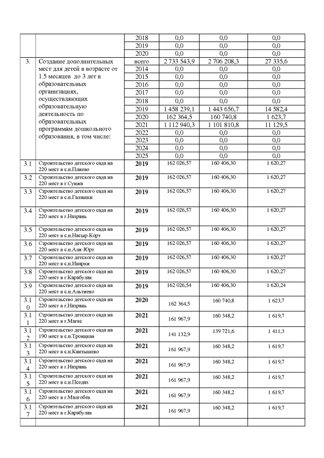
Постановление Правительства Республики Ингушетия от 30.01.2019 № 16
"О внесении изменений в государственную программу Республики Ингушетия "Развитие образования"
Номер опубликования: 0600201902010004
Дата опубликования: 01.02.2019
Страница №86 из 150:
Увеличить