Официальное опубликование правовых актов
ОФИЦИАЛЬНОЕ ОПУБЛИКОВАНИЕ
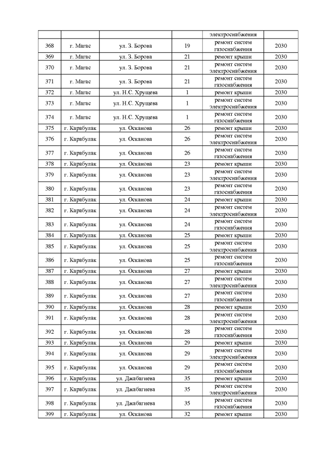
Постановление Правительства Республики Ингушетия от 12.03.2018 № 51
"О внесении изменений в республиканскую программу "Капитальный ремонт общего имущества в многоквартирных домах в Республике Ингушетия на 2014 – 2043 годы"
Номер опубликования: 0600201803140001
Дата опубликования: 14.03.2018
Страница №14 из 82:
Увеличить