Официальное опубликование правовых актов
ОФИЦИАЛЬНОЕ ОПУБЛИКОВАНИЕ
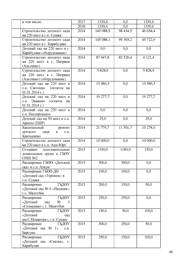
Постановление Правительства Республики Ингушетия от 01.12.2016 № 227
"О внесении изменений в государственную программу Республики Ингушетия "Развитие образования"
Номер опубликования: 0600201612020001
Дата опубликования: 02.12.2016
Страница №45 из 70:
Увеличить