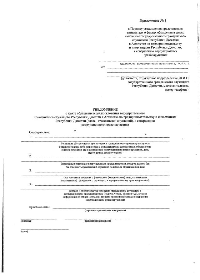
Приказ Агентства по предпринимательству и инвестициям Республики Дагестан от 11.01.2023 № 2-ОД
"Об утверждении порядка уведомления представителя нанимателя о фактах обращения в целях склонения государственного гражданского служащего Республики Дагестан в Агентстве по предпринимательству и инвестициям Республики Дагестан, к совершению коррупционных правонарушений"
(Зарегистрирован 30.01.2023 № 6471)
"Об утверждении порядка уведомления представителя нанимателя о фактах обращения в целях склонения государственного гражданского служащего Республики Дагестан в Агентстве по предпринимательству и инвестициям Республики Дагестан, к совершению коррупционных правонарушений"
(Зарегистрирован 30.01.2023 № 6471)
Номер опубликования: 0501202302010003
Дата опубликования:
01.02.2023
