Официальное опубликование правовых актов
ОФИЦИАЛЬНОЕ ОПУБЛИКОВАНИЕ
Приказ Министерства по земельным и имущественным отношениям Республики Дагестан от 23.11.2022 № 256
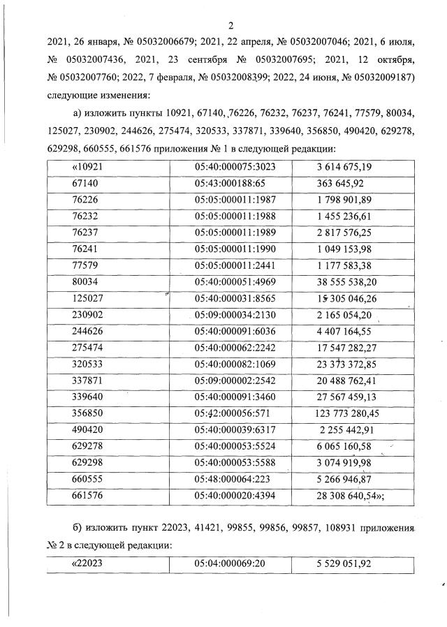
"О внесении изменений в приказ Министерства по земельным и имущественным отношениям Республики Дагестан от 27 ноября 2019 г. № 500 "Об утверждении результатов определения кадастровой стоимости объектов капитального строительства, земель сельскохозяйственного назначения, земель населенных пунктов на территории Республики Дагестан"
(Зарегистрирован 02.12.2022 № 6365)
Номер опубликования: 0501202212090008
Дата опубликования: 09.12.2022
Страница №2 из 4:
Увеличить