Приказ Министерства финансов Республики Дагестан от 08.11.2022 № 829
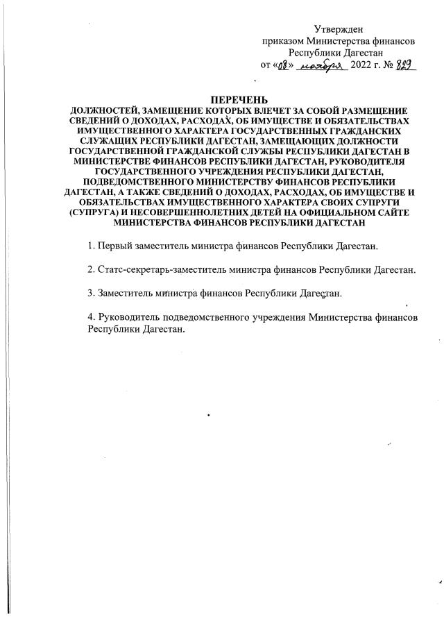
"Об утверждении перечня должностей, замещение которых влечет за собой размещение сведений о доходах, расходах, об имуществе и обязательствах имущественного характера государственных гражданских служащих Республики Дагестан, замещающих должности государственной гражданской службы Республики Дагестан в Министерстве финансов Республики Дагестан, руководителя государственного учреждения Республики Дагестан, подведомственного Министерству финансов Республики Дагестан, а также сведений о доходах, расходах, об имуществе и обязательствах имущественного характера своих супруги (супруга) и несовершеннолетних детей на официальном сайте Министерства финансов Республики Дагестан"
(Зарегистрирован 21.11.2022 № 6268)
"Об утверждении перечня должностей, замещение которых влечет за собой размещение сведений о доходах, расходах, об имуществе и обязательствах имущественного характера государственных гражданских служащих Республики Дагестан, замещающих должности государственной гражданской службы Республики Дагестан в Министерстве финансов Республики Дагестан, руководителя государственного учреждения Республики Дагестан, подведомственного Министерству финансов Республики Дагестан, а также сведений о доходах, расходах, об имуществе и обязательствах имущественного характера своих супруги (супруга) и несовершеннолетних детей на официальном сайте Министерства финансов Республики Дагестан"
(Зарегистрирован 21.11.2022 № 6268)
Номер опубликования: 0501202211250001
Дата опубликования:
25.11.2022
