Официальное опубликование правовых актов
ОФИЦИАЛЬНОЕ ОПУБЛИКОВАНИЕ
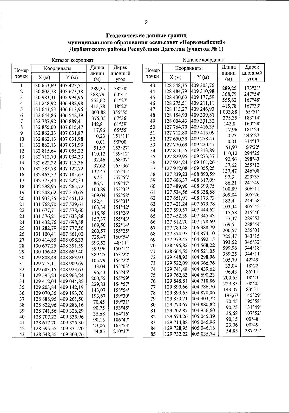
Закон Республики Дагестан от 30.05.2025 № 49
"О внесении изменений в приложение к Закону Республики Дагестану "Об утверждении границ муниципальных образований Республики Дагестан и о внесении изменений в Закон Республики Дагестан "О статусе и границах муниципальных образований Республики Дагестан"
Номер опубликования: 0500202506020008
Дата опубликования: 02.06.2025
Страница №3 из 6:
Увеличить