Официальное опубликование правовых актов
ОФИЦИАЛЬНОЕ ОПУБЛИКОВАНИЕ
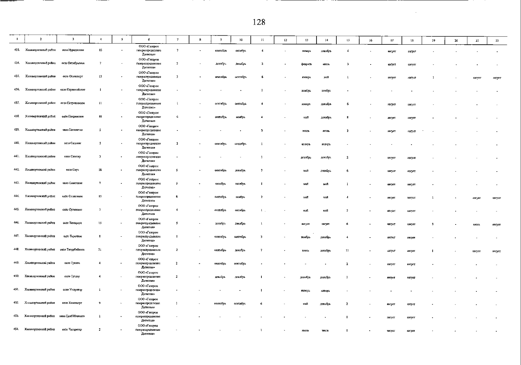
Постановление Правительства Республики Дагестан от 27.12.2024 № 423
"О внесении изменений в региональную программу "Газификация жилищно-коммунального хозяйства, промышленных и иных организаций Республики Дагестан на 2022-2031 годы"
Номер опубликования: 0500202412280004
Дата опубликования: 28.12.2024
Страница №129 из 831:
Увеличить