Официальное опубликование правовых актов
ОФИЦИАЛЬНОЕ ОПУБЛИКОВАНИЕ
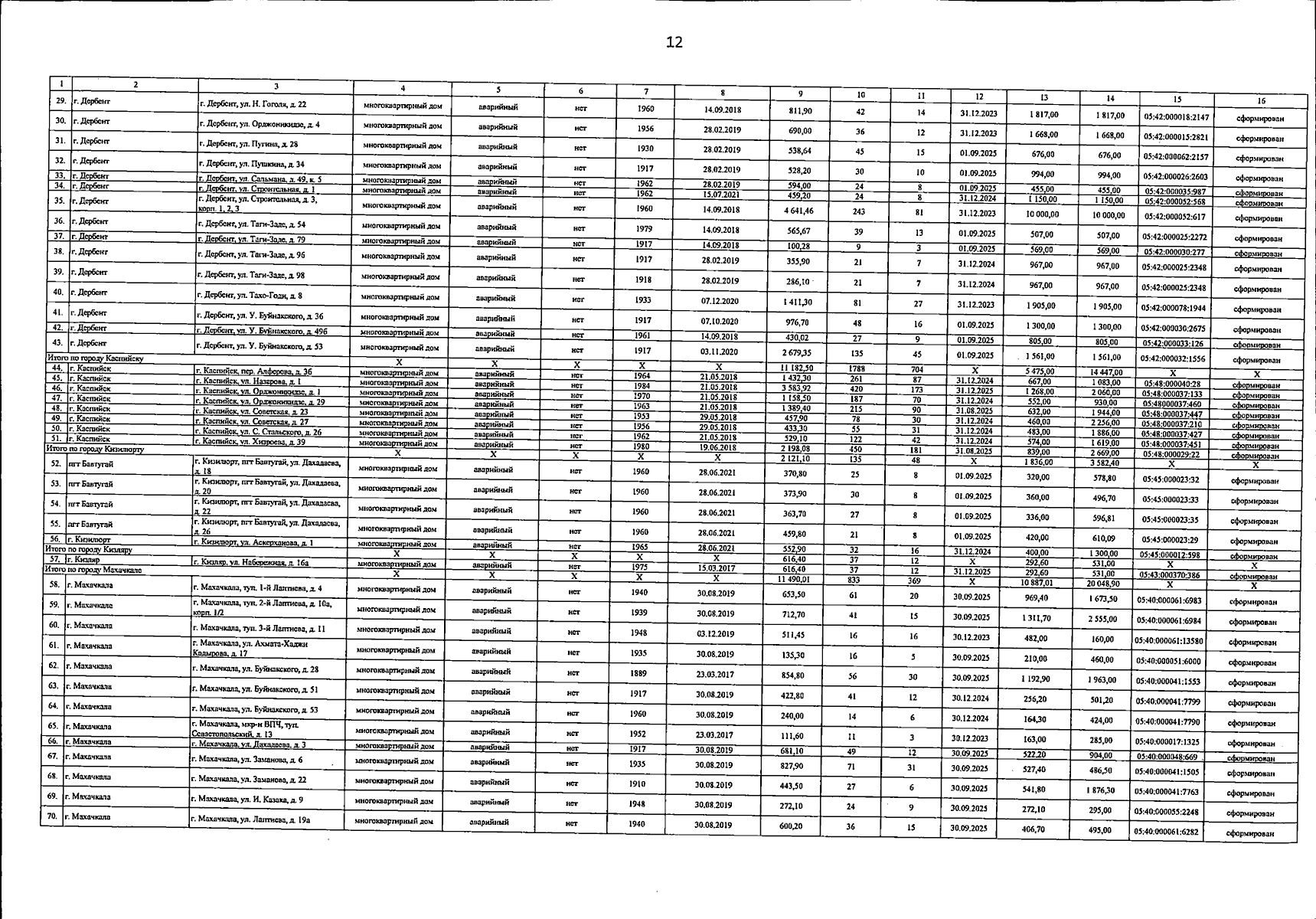
Постановление Правительства Республики Дагестан от 15.11.2024 № 370
"О внесении изменений в республиканскую адресную программу "Переселение граждан из аварийного жилищного фонда в Республике Дагестан в 2023-2025 годах"
Номер опубликования: 0500202411200008
Дата опубликования: 20.11.2024
Страница №13 из 29:
Увеличить