Официальное опубликование правовых актов
ОФИЦИАЛЬНОЕ ОПУБЛИКОВАНИЕ
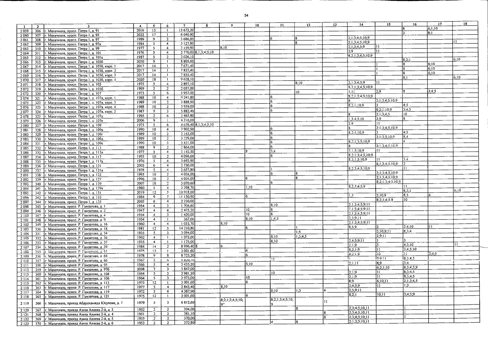
Постановление Правительства Республики Дагестан от 09.10.2024 № 315
"О внесении изменений в постановление Правительства Республики Дагестан от 18 апреля 2014 г. № 175"
Номер опубликования: 0500202410140014
Дата опубликования: 14.10.2024
Страница №42 из 79:
Увеличить