Официальное опубликование правовых актов
ОФИЦИАЛЬНОЕ ОПУБЛИКОВАНИЕ
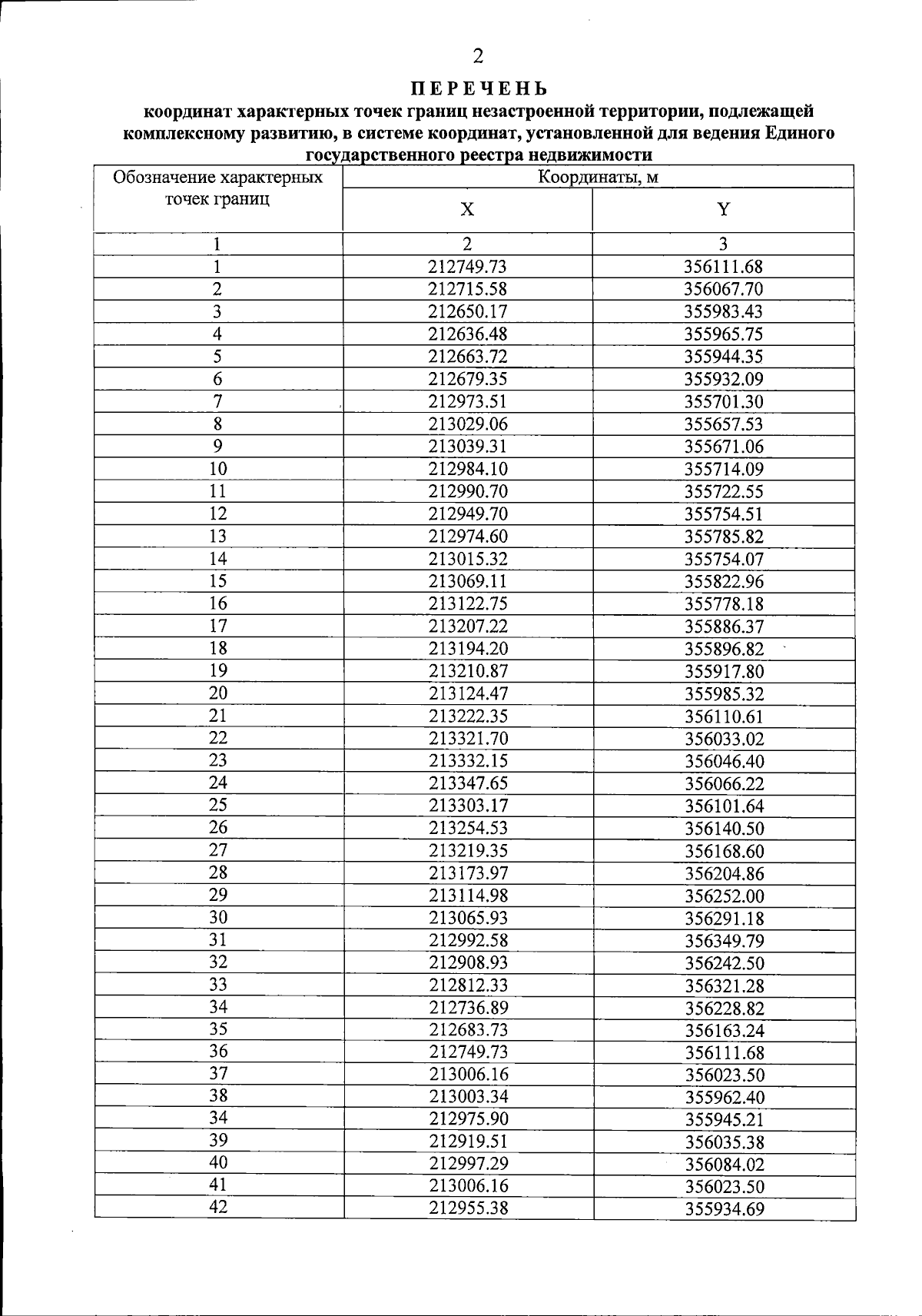
Распоряжение Правительства Республики Дагестан от 25.06.2024 № 291-р
Номер опубликования: 0500202407010007
Дата опубликования: 01.07.2024
Страница №4 из 15:
Увеличить