Официальное опубликование правовых актов
ОФИЦИАЛЬНОЕ ОПУБЛИКОВАНИЕ
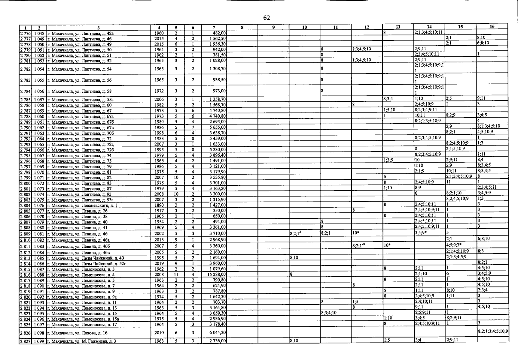
Постановление Правительства Республики Дагестан от 21.12.2023 № 505
"О внесении изменений в Региональную программу по проведению капитального ремонта общего имущества в многоквартирных домах в Республике Дагестан на 2014-2040 годы"
Номер опубликования: 0500202312270014
Дата опубликования: 27.12.2023
Страница №63 из 93:
Увеличить