Официальное опубликование правовых актов
ОФИЦИАЛЬНОЕ ОПУБЛИКОВАНИЕ
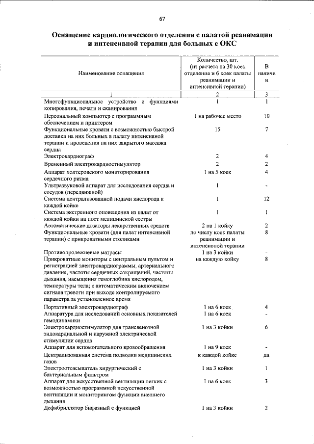
Постановление Правительства Республики Дагестан от 30.06.2022 № 213
"О внесении изменений в подпрограмму "Борьба с сердечно-сосудистыми заболеваниями" государственной программы Республики Дагестан "Развитие здравоохранения в Республике Дагестан"
Номер опубликования: 0500202207040002
Дата опубликования: 04.07.2022
Страница №68 из 247:
Увеличить