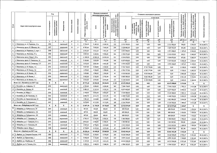
Постановление Правительства Республики Дагестан от 07.09.2018 № 125
"О внесении изменений в приложения № 1 и № 2 к постановлению Правительства Республики Дагестан от 15 февраля 2017 г. № 32"
"О внесении изменений в приложения № 1 и № 2 к постановлению Правительства Республики Дагестан от 15 февраля 2017 г. № 32"
Номер опубликования: 0500201809120021
Дата опубликования:
12.09.2018
