Официальное опубликование правовых актов
ОФИЦИАЛЬНОЕ ОПУБЛИКОВАНИЕ
Приказ Министерства природных ресурсов и экологии Республики Алтай от 24.10.2025 № П-03-01/60
"Об установлении зон санитарной охраны водозаборного сооружения, расположенного в с. Тюнгур Усть-Коксинского района Республики Алтай (скважина № Г 2/23)"
(Зарегистрирован 27.10.2025 № 668)
Номер опубликования: 0401202510270001
Дата опубликования: 27.10.2025
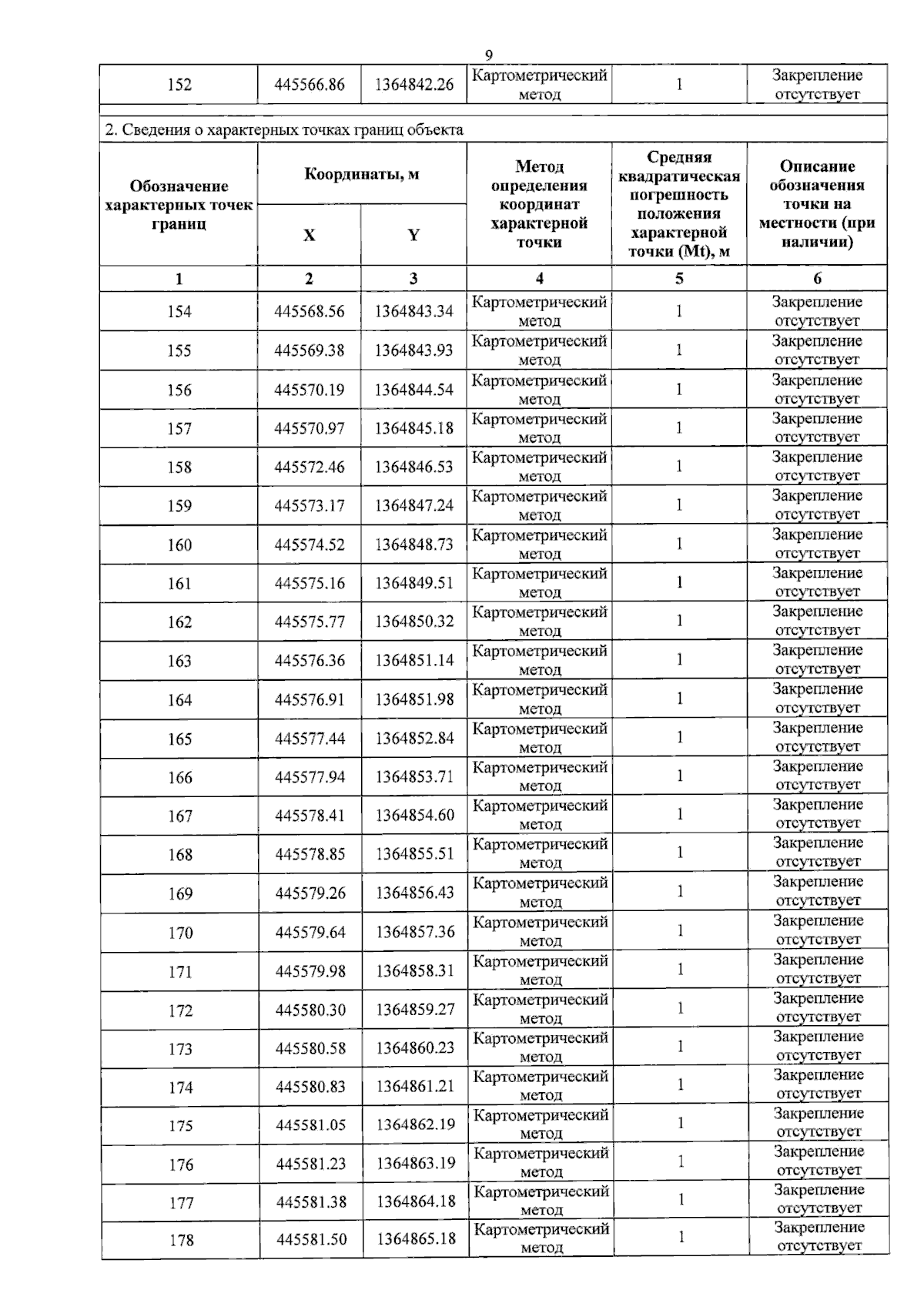
Страница №9 из 47:
Увеличить