Официальное опубликование правовых актов
ОФИЦИАЛЬНОЕ ОПУБЛИКОВАНИЕ
Приказ Комитета по тарифам Республики Алтай от 01.11.2024 № П-15-01/0143
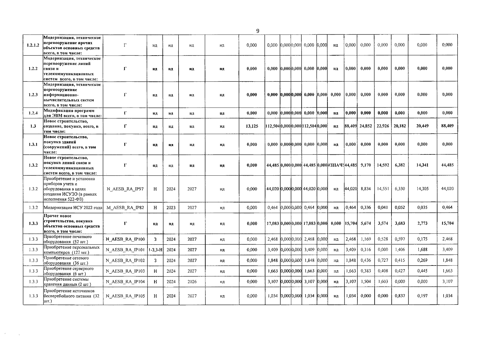
"Об утверждении изменений, которые вносятся в инвестиционную программу в сфере электроэнергетики для акционерного общества "Алтайэнергосбыт" (Горно-Алтайский филиал) на 2024-2027 годы, утвержденную приказом Комитета по тарифам Республики Алтай от 24 ноября 2023 года № 53-ВД"
(Зарегистрирован 01.11.2024 № 0493)
Номер опубликования: 0401202411020003
Дата опубликования: 02.11.2024
Страница №9 из 28:
Увеличить