Официальное опубликование правовых актов
ОФИЦИАЛЬНОЕ ОПУБЛИКОВАНИЕ
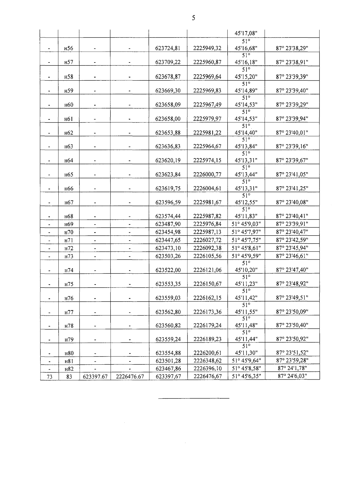
Приказ Министерства природных ресурсов и экологии Республики Алтай от 22.11.2023 № 604
"О внесении изменений в приказ Министерства природных ресурсов и экологии Республики Алтай от 17 декабря 2019 г. № 969"
Номер опубликования: 0401202311300001
Дата опубликования: 30.11.2023
Страница №5 из 28:
Увеличить