Официальное опубликование правовых актов
ОФИЦИАЛЬНОЕ ОПУБЛИКОВАНИЕ
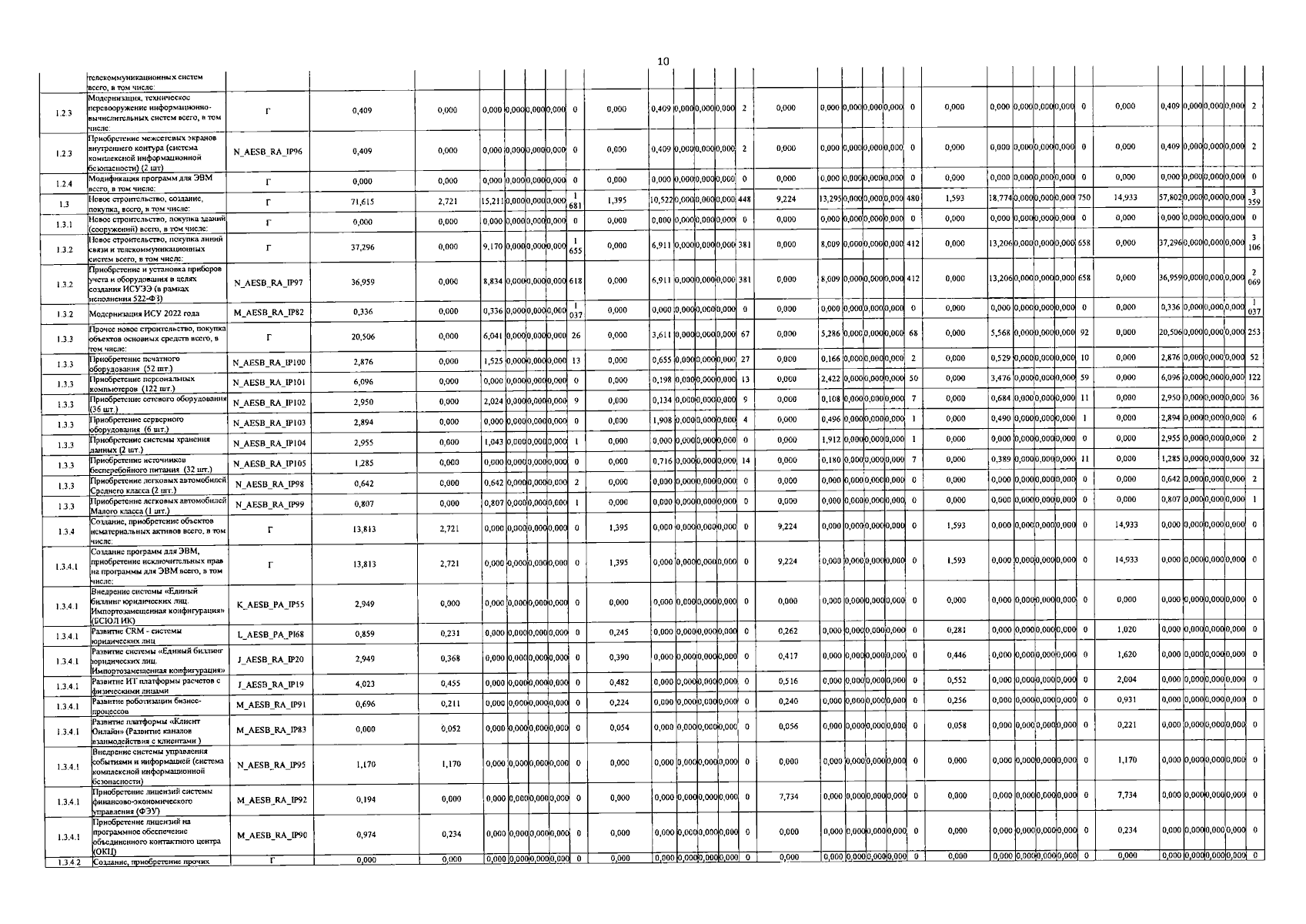
Приказ Комитета по тарифам Республики Алтай от 24.11.2023 № 53-ВД
"Об утверждении инвестиционной программы в сфере электроэнергетики для акционерного общества "Алтайэнергосбыт" (Горно-Алтайский филиал) на 2024-2027 годы"
Номер опубликования: 0401202311240002
Дата опубликования: 24.11.2023
Страница №10 из 18:
Увеличить