Официальное опубликование правовых актов
ОФИЦИАЛЬНОЕ ОПУБЛИКОВАНИЕ
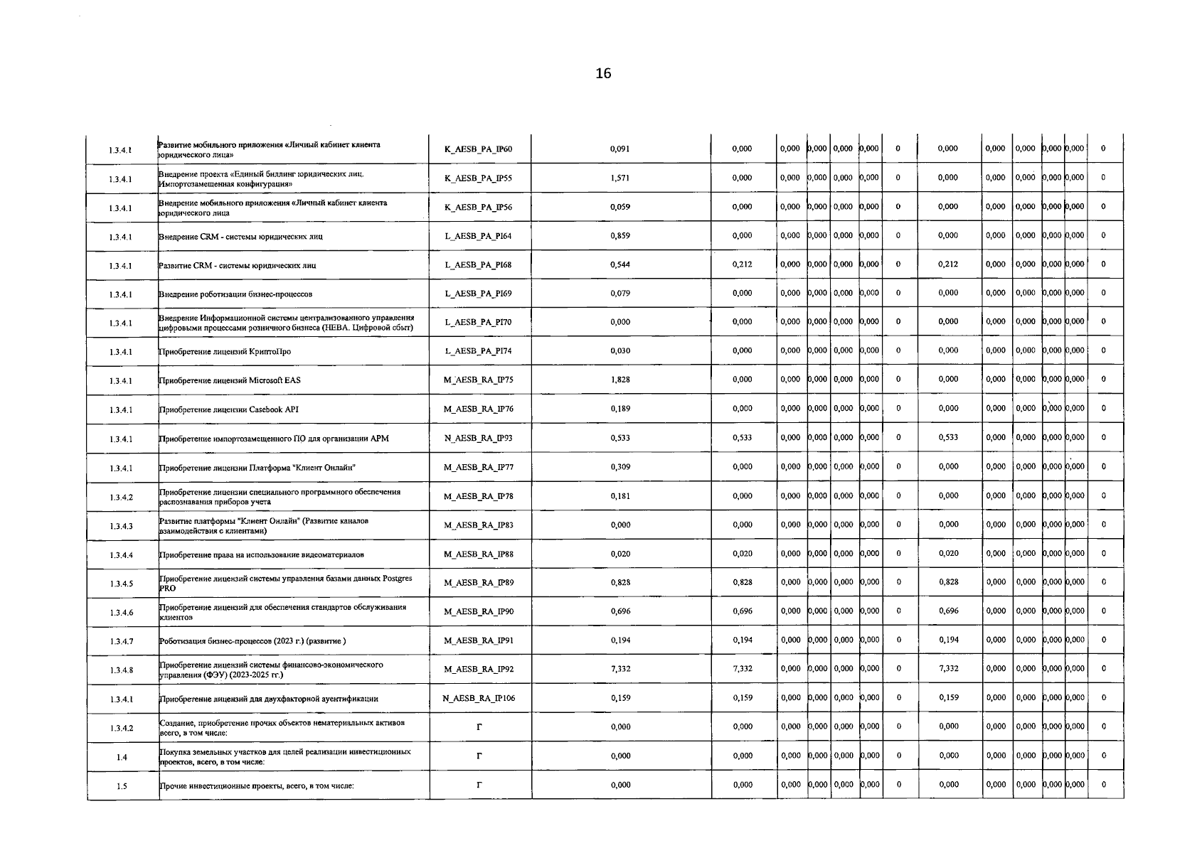
Приказ Комитета по тарифам Республики Алтай от 30.10.2023 № 46-ВД
"Об утверждении изменений, которые вносятся в инвестиционную программу АО "Алтайэнергосбыт", утвержденную приказом Комитета по тарифам Республики Алтай от 27 ноября 2019 г. № 90-ВД"
Номер опубликования: 0401202311020003
Дата опубликования: 02.11.2023
Страница №16 из 33:
Увеличить