Приказ Комитета по тарифам Республики Алтай от 29.09.2023 № 24-ВД
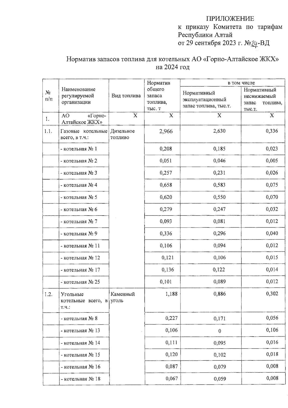
"Об утверждении нормативов запасов топлива для котельных АО "Горно-Алтайское ЖКХ" на 2024 год"
"Об утверждении нормативов запасов топлива для котельных АО "Горно-Алтайское ЖКХ" на 2024 год"
Номер опубликования: 0401202310030004
Дата опубликования:
03.10.2023
