Официальное опубликование правовых актов
ОФИЦИАЛЬНОЕ ОПУБЛИКОВАНИЕ
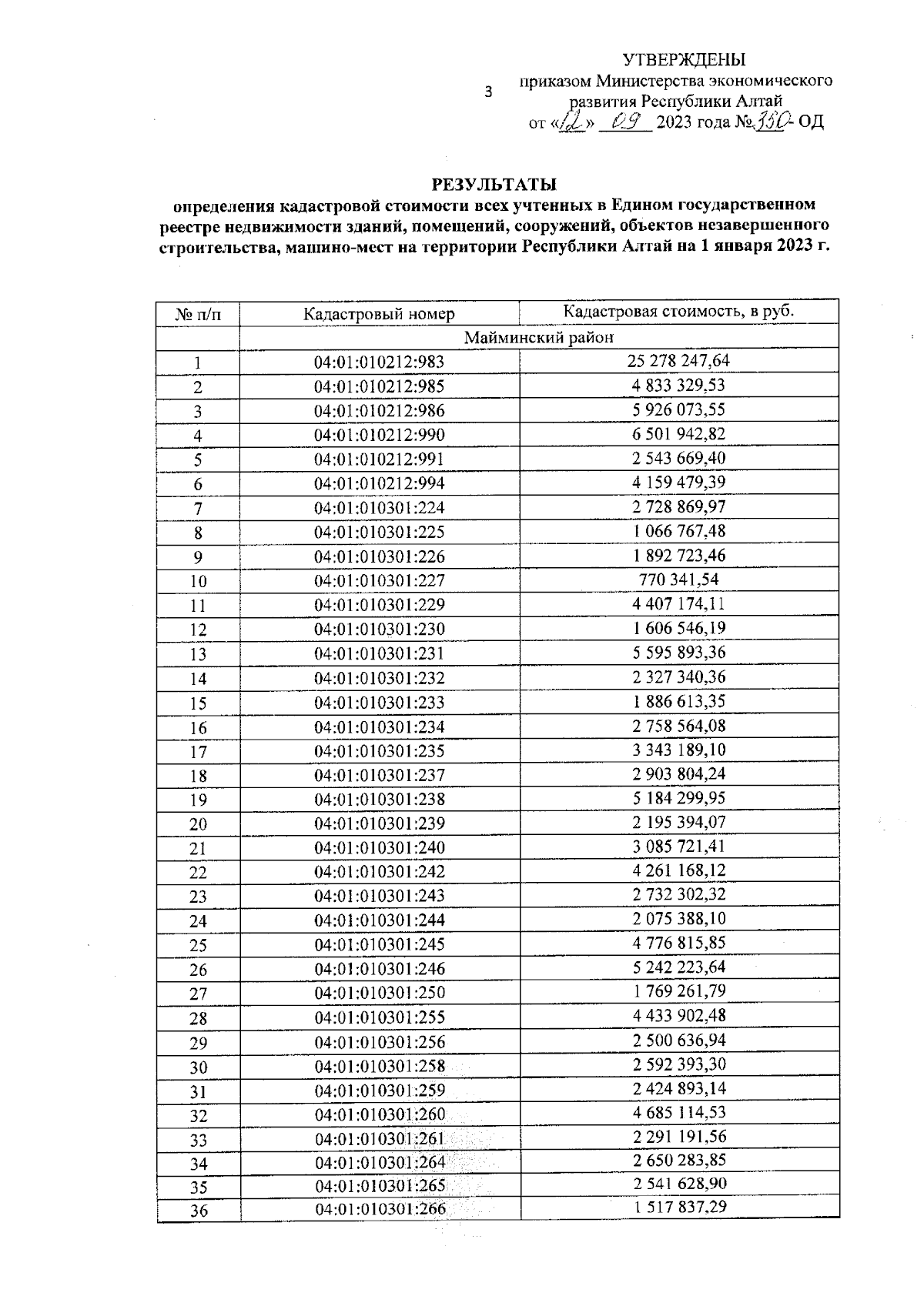
Приказ Министерства экономического развития Республики Алтай от 12.09.2023 № 350-ОД
"Об утверждении результатов определения кадастровой стоимости всех учтенных в Едином государственном реестре недвижимости зданий, помещений, сооружений, объектов незавершенного строительства, машино-мест на территории Республики Алтай"
Номер опубликования: 0401202309150011
Дата опубликования: 15.09.2023
Страница №3 из 2807:
Увеличить