Приказ Комитета по тарифам Республики Алтай от 16.08.2023 № 31/1
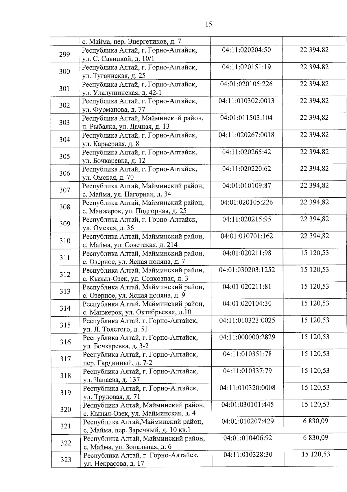
"Об утверждении размера экономически обоснованных расходов АО "Газпром газораспределение" на территории Республики Алтай на выполнение мероприятий по подключению (технологическому присоединению) газоиспользующего оборудования физических лиц, осуществляемых без взимания с них средств, на территории Республики Алтай за 2 квартал 2023 года"
"Об утверждении размера экономически обоснованных расходов АО "Газпром газораспределение" на территории Республики Алтай на выполнение мероприятий по подключению (технологическому присоединению) газоиспользующего оборудования физических лиц, осуществляемых без взимания с них средств, на территории Республики Алтай за 2 квартал 2023 года"
Номер опубликования: 0401202308170001
Дата опубликования:
17.08.2023
