Официальное опубликование правовых актов
ОФИЦИАЛЬНОЕ ОПУБЛИКОВАНИЕ
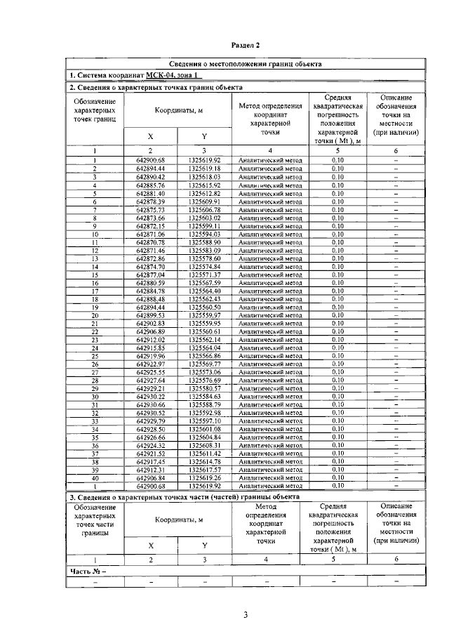
Приказ Министерства природных ресурсов и экологии Республики Алтай от 28.06.2023 № 375
"Об установлении зоны санитарной охраны на водозаборное сооружение в с. Дубровка, Майминский район, Республика Алтай (скважина № 19/78)"
Номер опубликования: 0401202306280002
Дата опубликования: 28.06.2023
Страница №3 из 18:
Увеличить