Официальное опубликование правовых актов
ОФИЦИАЛЬНОЕ ОПУБЛИКОВАНИЕ
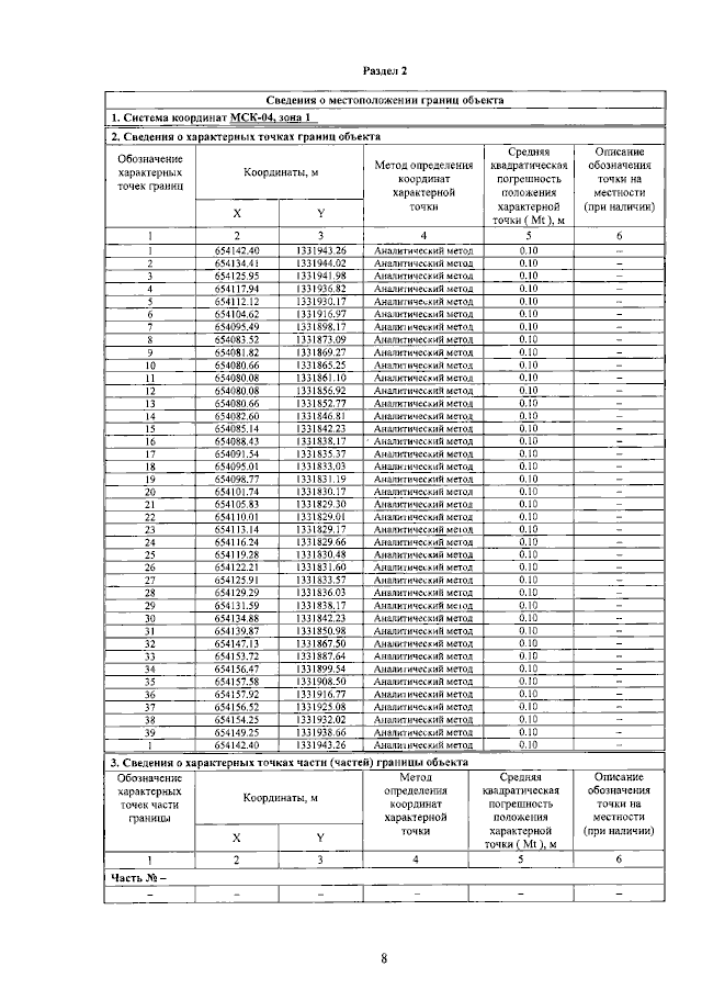
Приказ Министерства природных ресурсов и экологии Республики Алтай от 18.05.2023 № 278
"Об установлении зоны санитарной охраны на водозабор (скважины Г Г19/12 и Г20/12) в микрорайоне Алгаир-2 с. Майма Майминский район Республика Алтай"
Номер опубликования: 0401202305220001
Дата опубликования: 22.05.2023
Страница №8 из 18:
Увеличить