Официальное опубликование правовых актов
ОФИЦИАЛЬНОЕ ОПУБЛИКОВАНИЕ
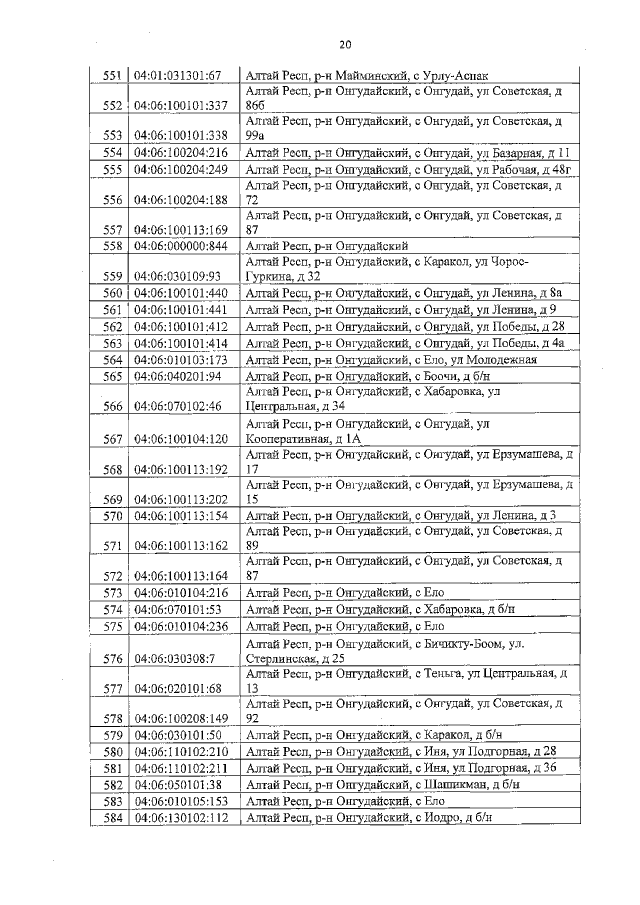
Приказ Министерства экономического развития Республики Алтай от 29.12.2021 № 300-ОД
"Об определении перечня объектов недвижимого имущества, указанных в подпунктах 1 и 2 пункта 1 статьи 378.2 Налогового кодекса Российской Федерации, в отношении которых налоговая база определяется как кадастровая стоимость, на 2022 год"
Номер опубликования: 0401202112290001
Дата опубликования: 29.12.2021
Страница №20 из 140:
Увеличить