Официальное опубликование правовых актов
ОФИЦИАЛЬНОЕ ОПУБЛИКОВАНИЕ
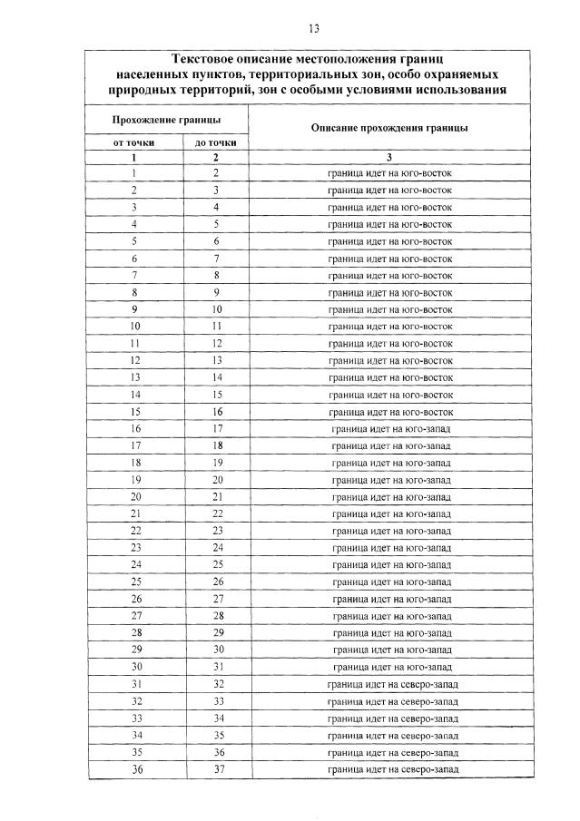
Приказ Министерства природных ресурсов, экологии и туризма Республики Алтай от 08.11.2021 № 648
"Об установлении зон санитарной охраны на водозаборное сооружение (скважина Г8/14), расположенное в микрорайоне "Барантал" села Элекмонар Чемальского района Республики Алтай"
Номер опубликования: 0401202111100007
Дата опубликования: 10.11.2021
Страница №13 из 26:
Увеличить