Официальное опубликование правовых актов
ОФИЦИАЛЬНОЕ ОПУБЛИКОВАНИЕ
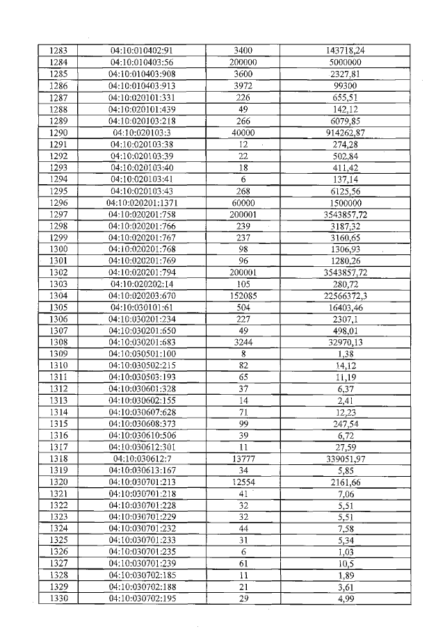
Приказ Министерства экономического развития Республики Алтай от 18.11.2020 № 257-ОД
"Об утверждении результатов определения кадастровой стоимости земельных участков в составе земель промышленности, энергетики, транспорта, связи, радиовещания, телевидения, информатики, земли для обеспечения космической деятельности, обороны, безопасности и иного специального назначения, особо охраняемых территорий и объектов на территории Республики Алтай"
Номер опубликования: 0401202011200004
Дата опубликования: 20.11.2020
Страница №30 из 79:
Увеличить