Официальное опубликование правовых актов
ОФИЦИАЛЬНОЕ ОПУБЛИКОВАНИЕ
Приказ Комитета по тарифам Республики Алтай от 19.10.2020 № 39-ВД
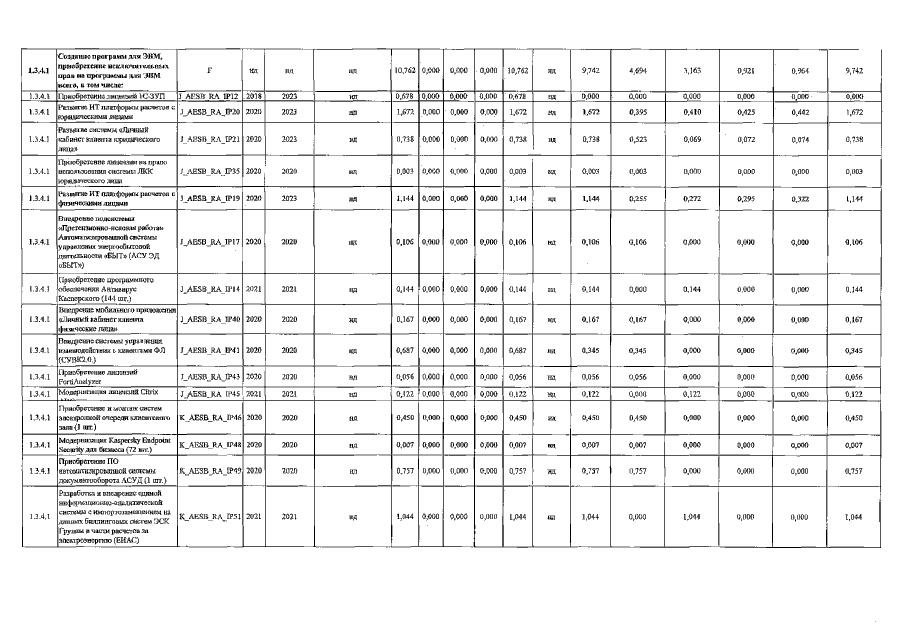
"Об утверждении изменений, которые вносятся в инвестиционную программу АО "Алтайэнергосбыт", утвержденную приказом Комитета по тарифам Республики Алтай от 27 ноября 2019 года № 90-ВД"
Номер опубликования: 0401202010280002
Дата опубликования: 28.10.2020
Страница №9 из 28:
Увеличить