Официальное опубликование правовых актов
ОФИЦИАЛЬНОЕ ОПУБЛИКОВАНИЕ
Постановление Правительства Республики Алтай от 26.12.2025 № 360
"О внесении изменений в постановление Правительства Республики Алтай от 28 декабря 2024 г. № 475"
Номер опубликования: 0400202512290002
Дата опубликования: 29.12.2025
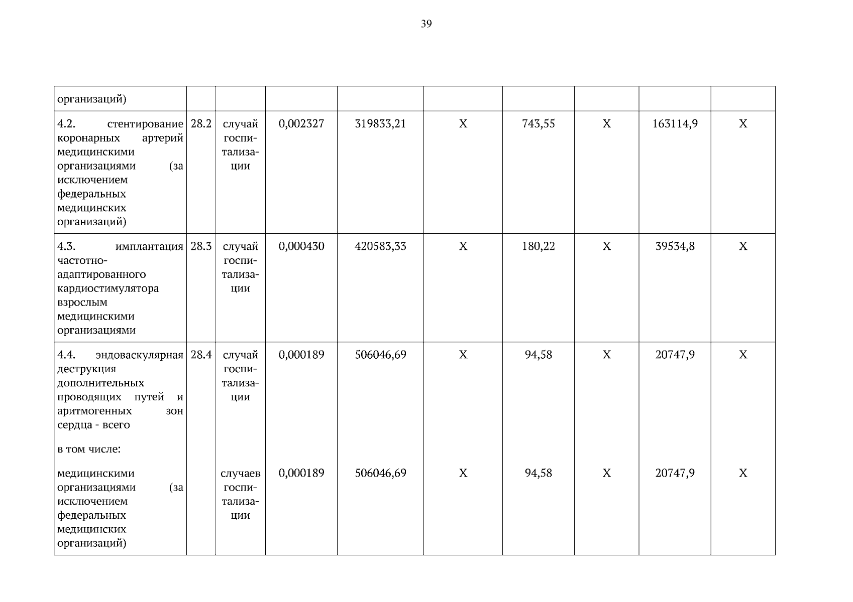
Страница №39 из 43:
Увеличить