Официальное опубликование правовых актов
ОФИЦИАЛЬНОЕ ОПУБЛИКОВАНИЕ
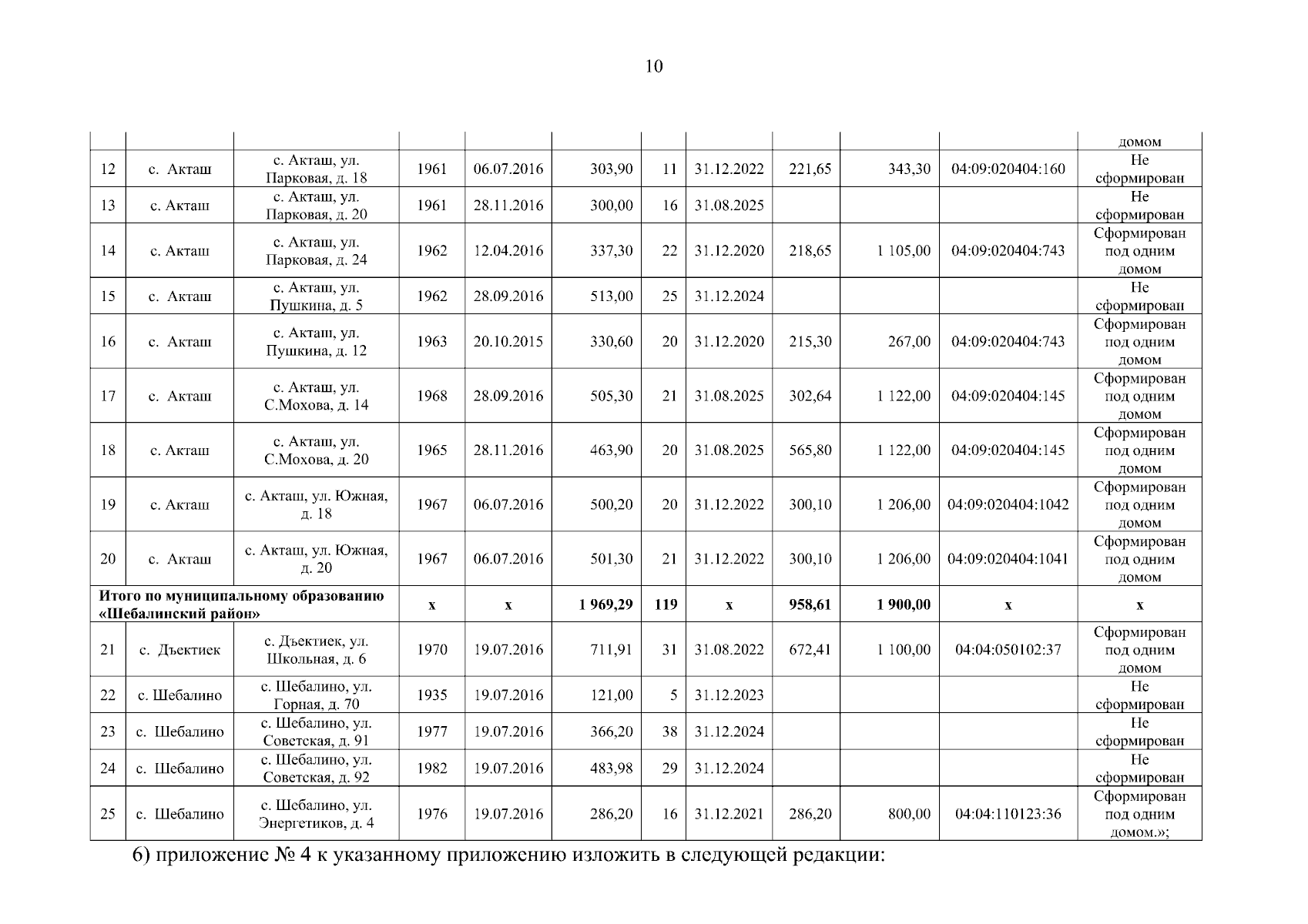
Постановление Правительства Республики Алтай от 30.01.2024 № 20
"О внесении изменений в приложение к постановлению Правительства Республики Алтай 29 марта 2019 г. № 89"
Номер опубликования: 0400202401310002
Дата опубликования: 31.01.2024
Страница №10 из 19:
Увеличить