Официальное опубликование правовых актов
ОФИЦИАЛЬНОЕ ОПУБЛИКОВАНИЕ
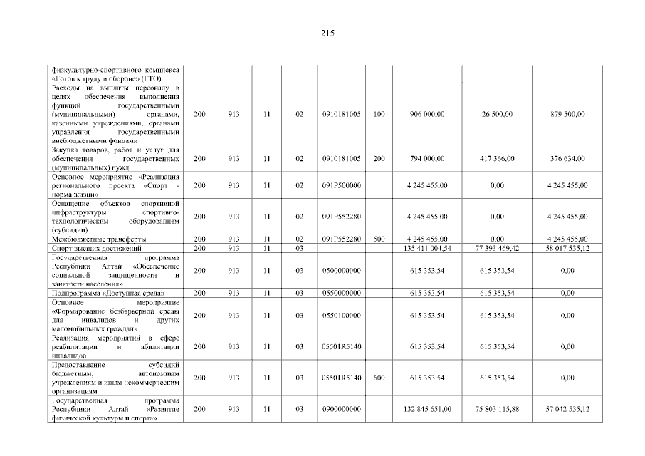
Постановление Правительства Республики Алтай от 03.08.2023 № 300
"Об утверждении отчета об исполнении республиканского бюджета Республики Алтай за первое полугодие 2023 года"
Номер опубликования: 0400202308040001
Дата опубликования: 04.08.2023
Страница №215 из 324:
Увеличить