Официальное опубликование правовых актов
ОФИЦИАЛЬНОЕ ОПУБЛИКОВАНИЕ
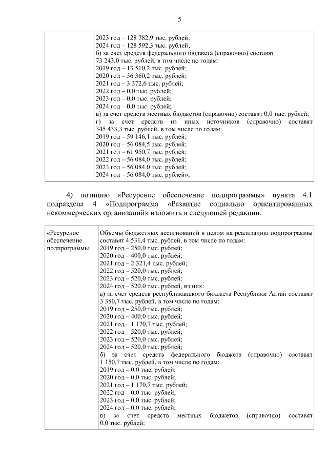
Постановление Правительства Республики Алтай от 18.03.2022 № 88
"Об утверждении изменений, которые вносятся в государственную программу Республики Алтай "Обеспечение социальной защищенности и занятости населения"
Номер опубликования: 0400202203220003
Дата опубликования: 22.03.2022
Страница №5 из 169:
Увеличить