Официальное опубликование правовых актов
ОФИЦИАЛЬНОЕ ОПУБЛИКОВАНИЕ
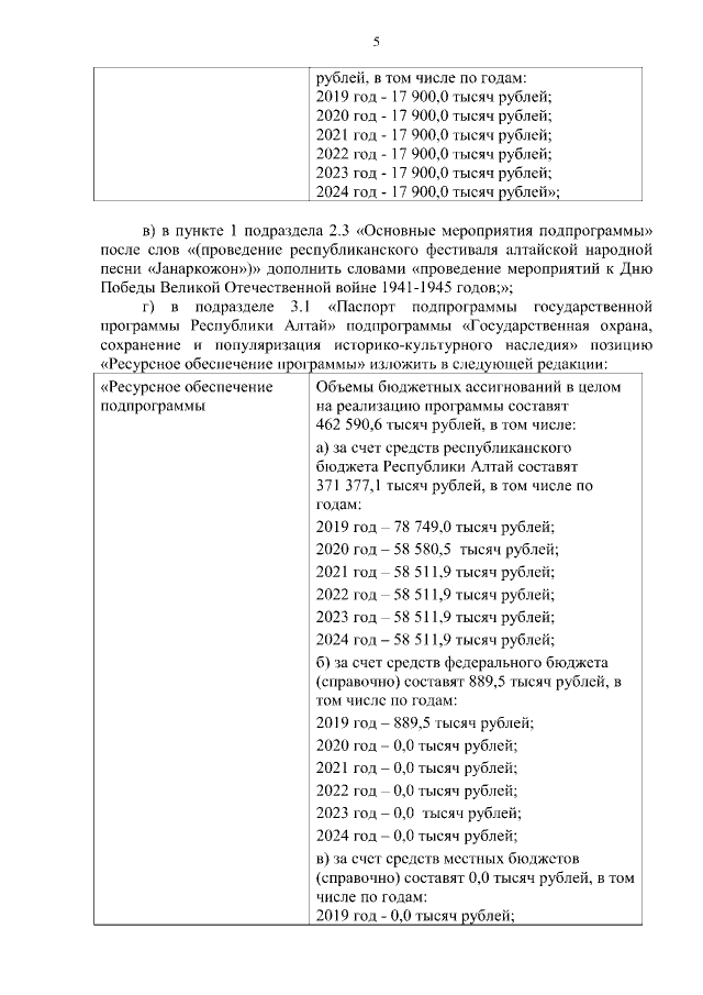
Постановление Правительства Республики Алтай от 12.12.2019 № 348
"О внесении изменений в государственную программу Республики Алтай "Развитие культуры"
Номер опубликования: 0400201912160002
Дата опубликования: 16.12.2019
Страница №5 из 25:
Увеличить