Официальное опубликование правовых актов
ОФИЦИАЛЬНОЕ ОПУБЛИКОВАНИЕ
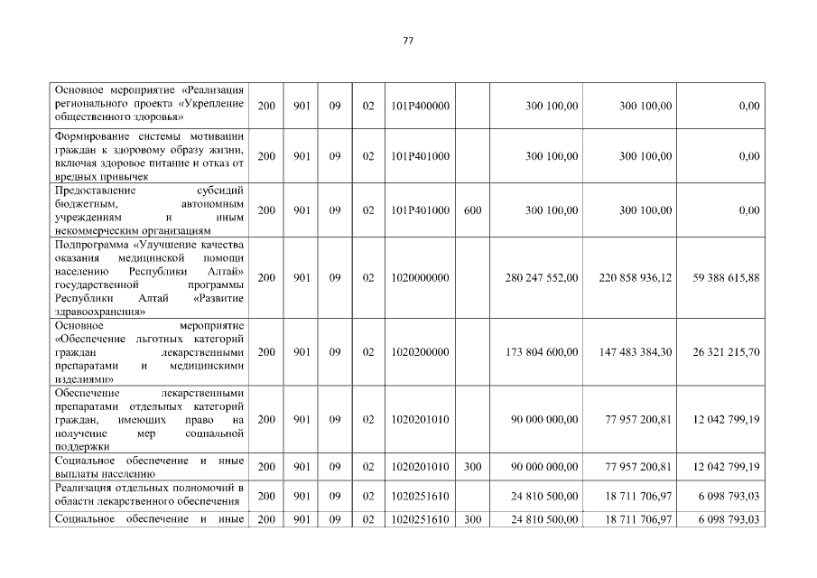
Постановление Правительства Республики Алтай от 05.11.2019 № 311
"Об утверждении отчета об исполнении республиканского бюджета Республики Алтай за девять месяцев 2019 года"
Номер опубликования: 0400201911060003
Дата опубликования: 06.11.2019
Страница №77 из 334:
Увеличить