Официальное опубликование правовых актов
ОФИЦИАЛЬНОЕ ОПУБЛИКОВАНИЕ
Постановление Правительства Республики Алтай от 28.12.2018 № 421
"О внесении изменений в государственную программу Республики Алтай "Комплексные меры профилактики правонарушений и защита населения и территории Республики Алтай от чрезвычайных ситуаций", утвержденную постановлением Правительства Республики Алтай от 28 октября 2016 года № 313"
Номер опубликования: 0400201812290005
Дата опубликования: 29.12.2018
Страница №3 из 18:
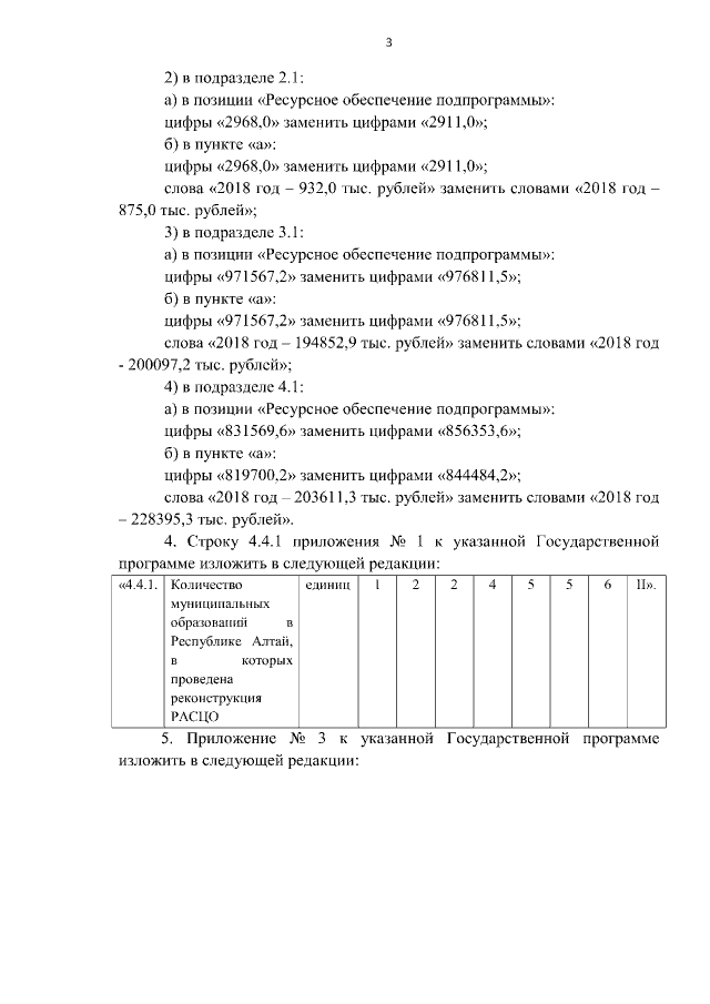
Увеличить