Постановление Правительства Республики Алтай от 28.09.2018 № 305
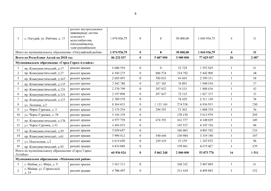
"О внесении изменений в краткосрочный план реализации региональной программы "Проведение капитального ремонта общего имущества в многоквартирных домах на территории Республики Алтай на 2014-2043 годы" на 2017 – 2019 годы"
"О внесении изменений в краткосрочный план реализации региональной программы "Проведение капитального ремонта общего имущества в многоквартирных домах на территории Республики Алтай на 2014-2043 годы" на 2017 – 2019 годы"
Номер опубликования: 0400201810020004
Дата опубликования:
02.10.2018
