Официальное опубликование правовых актов
ОФИЦИАЛЬНОЕ ОПУБЛИКОВАНИЕ
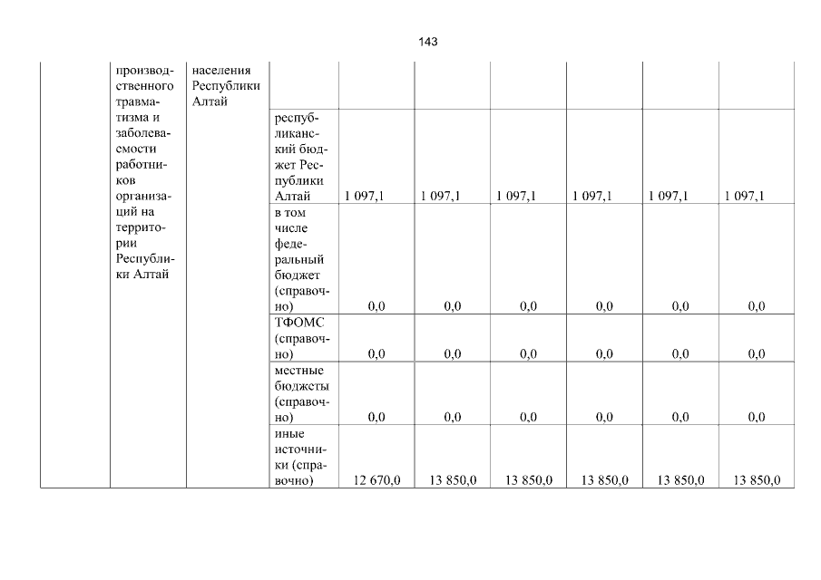
Постановление Правительства Республики Алтай от 17.08.2018 № 268 "Об утверждении государственной программы Республики Алтай "Обеспечение социальной защищенности и занятости населения"
Номер опубликования: 0400201808210007
Дата опубликования: 21.08.2018
Страница №143 из 144:
Увеличить