Постановление Правительства Республики Алтай от 29.06.2018 № 204
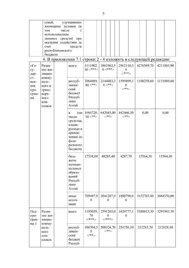
"Об утверждении изменений, которые вносятся в государственную программу Республики Алтай "Развитие жилищно-коммунального и транспортного комплекса"
"Об утверждении изменений, которые вносятся в государственную программу Республики Алтай "Развитие жилищно-коммунального и транспортного комплекса"
Номер опубликования: 0400201807040006
Дата опубликования:
04.07.2018
