Официальное опубликование правовых актов
ОФИЦИАЛЬНОЕ ОПУБЛИКОВАНИЕ
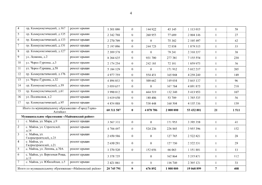
Постановление Правительства Республики Алтай от 15.11.2017 № 302
"О внесении изменений в постановление Правительства Республики Алтай от 4 октября 2016 года № 290"
Номер опубликования: 0400201711200005
Дата опубликования: 20.11.2017
Страница №4 из 10:
Увеличить