Официальное опубликование правовых актов
ОФИЦИАЛЬНОЕ ОПУБЛИКОВАНИЕ
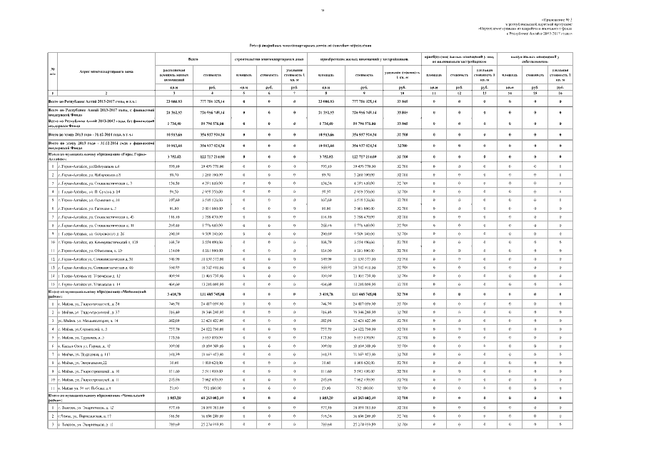
Постановление Правительства Республики Алтай от 17.06.2016 № 185
"О внесении изменений в республиканскую адресную программу "Переселение граждан из аварийного жилищного фонда в Республике Алтай в 2013-2017 годах"
Номер опубликования: 0400201606210004
Дата опубликования: 21.06.2016
Страница №18 из 22:
Увеличить